14 de marzo de 2010

Matemática ¿Cómo escoger entre 100 personas?


Domingo, 14 de marzo de 2010

Matemática ¿Cómo escoger entre 100 personas?

La vida cotidiana de una persona la obliga a tomar decisiones. Muchas veces, aun cuando uno no lo detecte. Decisiones que involucran el trabajo, a quién votar, elegir una casa, una escuela, los compañeros, la novia/el novio, un viaje, una película, un libro, una comida.

Saber elegir es aprender a vivir mejor. Si uno logra saber qué películas ver y cuáles evitar, está contribuyendo a su calidad de vida aunque no sea tan evidente (y posiblemente, no tan importante). Pero elegir un trabajo sobre otro, o renunciar a alguno, sí puede tener importancia y generar consecuencias que uno quiere o bien no quiere.

Incluso casarse o tener hijos implican la toma de decisiones. ¿Por qué escribí todo esto? Porque el siguiente problema muestra cómo la matemática puede cooperar desde un lugar no muy explorado por nosotros. Si bien el ejemplo que voy a usar puede no ser el que usted tenga que utilizar en su vida, sin embargo, estoy seguro de que le va a agregar una perspectiva que quizá no tenía, y eso solo ya bastaría para que uno se sienta más potente. Aquí voy.


Supongamos que usted es jefe de personal de una empresa. Tiene que contratar a una persona para cubrir un cargo que quedó vacante. Se abre la inscripción y usted es quien tiene que tomar la decisión final. Si se presentan pocas personas, digamos una o dos o tres, o incluso cuatro, el mejor método consiste en que usted evalúe personalmente a cada uno de los candidatos y luego elija el mejor (con el criterio que asumo que usted tiene para tomar esas decisiones).

Pero supongamos que se presentan 100 personas (por poner un ejemplo). Una alternativa es entrevistarlos a todos. Este método es seguro, en el sentido de que usted va a encontrar al mejor para el cargo, pero consume muchísimo tiempo. Ni hablar si los postulantes son más de 100.

Por otro lado, si usted decidiera no entrevistar a nadie y elegir en forma aleatoria, la probabilidad de que usted elija al mejor se reduce a 1/100, o sea, a un 1 por ciento. Eso sí: no consume casi nada de tiempo.

Como usted advierte, éstas dos serían las posiciones extremas: entrevistar a todos vs. elegir al azar. Las dos tienen sus ventajas, pero ciertamente también desventajas. ¿Cómo hacer para diseñar una estrategia que le permita aumentar la probabilidad de 1/100 en el caso de 100 postulantes?

Aquí es donde la matemática tiene algo para decir. Primero, quiero adelantar algo, que aunque parezca obvio lo quiero escribir igual: no hay mejor método que entrevistar a todos y decidir cuál es el mejor. O sea, usted no va a encontrar en lo que sigue una mejora a ese método, sencillamente porque no existe.

Eso sí, el objetivo es tratar de mejorar la estrategia de elegir uno al azar, y lograr que la probabilidad, que en ese caso es de 1/100 = 0,01 o sea con un 1 por ciento de posibilidades de acertar (en el caso de 100 postulantes), se transforme en la más alta posible.

Dicho esto, quiero contar en qué va a consistir la “tal” estrategia. Lo que uno va a hacer es elegir un grupo de los 100 al azar... digamos 37 por poner un ejemplo. A esos 37 los va a entrevistar como si fueran los únicos postulantes que hay, y se va a quedar con el mejor de entre esos 37. Pero ése no va a ser el candidato elegido. No. Lo que usted tiene que hacer inmediatamente después es empezar a entrevistar a los 63 que siguen, hasta que encuentre uno que sea mejor que el que usted encontró entre los 37. Ese va a ser el candidato elegido.

Por supuesto, la/lo imagino con un montón de preguntas. ¿De dónde salió el número 37? ¿Quién dijo que eso permite obtener la mejor probabilidad de obtener al mejor candidato? ¿Quién dijo que ésta es la mejor estrategia? Y las preguntas podrían seguir y seguir. Y estaría muy bien que siguieran. Eso sí: yo voy a tratar de dar algunas respuestas, no todas obviamente.

El número 37 no es un número cualquiera. Es el número que resulta al hacer el análisis más fino. Pero lo que quiero (y puedo) hacer acá es poner un ejemplo con menos postulantes para verificar cómo funciona la estrategia (o método). Y luego, vuelvo al caso más general.

Un punto más: no voy a poder demostrar en el marco de este artículo el resultado que voy a proponer. Lo voy a explicar tanto como sea capaz, pero las herramientas necesarias exceden las que yo pueda usar acá. Sin embargo, eso no impide que se entienda perfectamente lo que hay que hacer, y cómo la matemática sirve como auxilio para resolver el problema que planteé más arriba. Ahora sí, acá va.

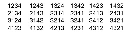
Lo que voy a hacer es suponer que uno tiene cuatro candidatos (y no 100), y mostrar cómo funciona el método. Esto debería dar la idea de lo que hay que hacer si uno tiene 100 (o la cantidad que sea). Supongamos que los candidatos recibieron un número: 1, 2, 3 y 4. Más aún: si usted hubiera podido entrevistarlos a todos, digamos que el orden de méritos hubiera sido este: 1234.

Es decir, el número 1 fue el mejor de los candidatos, el número 2 el segundo y así siguiendo. Pero el postulante 1 es quien debiera ser el elegido. Ahora bien: si uno no sabe cuál es el orden “correcto”, ¿cuántos posibles ordenamientos hay? En total, son 24:

Lo que uno quiere es encontrar una estrategia que le permita tener la mayor probabilidad posible de encontrar al candidato 1 (que es el mejor). Como uno no quiere entrevistarlos a todos, puede optar por una de estas cuatro alternativas:

a)

Elegir al primero de cada posible orden.

b)

Eliminar el primer candidato que aparezca y elegir el primero que sea mejor que el que uno descartó.

c)

Eliminar los dos primeros (pero recordando cuál es el mejor entre estos dos) y quedarse con el primero de los dos restantes que sea mejor que el mejor que uno descartó.

d)

Eliminar los tres primeros, y quedarse con el cuarto.

En el caso (a) uno sólo elegiría al número 1 en seis de los 24 casos posibles, que se corresponde con la primera fila de la tabla 1. O sea, se quedaría con el mejor solamente en el 25 por ciento de los casos (6/24 = ¼ = 0,25). ¿Qué pasaría en el caso (b), en donde uno elimina al primero, y se queda con el mejor de los tres restantes, que es mejor que el que descartó? Analicemos situación por situación:

Hasta acá, uno elige mal siempre. Sigo:

En esta situación, uno se queda con el mejor en 11 oportunidades sobre 24 casos posibles. O sea, la probabilidad de haber acertado es de 11/24 = 45,833... O sea, casi el 46 por ciento de los casos.

En el caso c) (la/lo invito a que usted haga el análisis), uno se queda con el mejor en 10/24 = 5/12 = 0,41666. O sea, acierta casi en el 42 por ciento. Y en el caso d), uno termina eligiendo el mejor en 6/24 = ¼ = 0,25, o sea en un 25 por ciento de los casos. Es decir, la estrategia b), que implica descartar al primero y luego seleccionar al primero que aparece mejor que el que eliminó es la óptima, y uno logra descubrir al mejor candidato en casi el 46 por ciento de los casos.

¿Y ahora, qué? Y si en lugar de ser cuatro candidatos fueran 100, ¿qué pasaría? La idea es, justamente, extrapolar lo que hice más arriba a cualquier número de postulantes. Pero tomemos el caso de 100 candidatos. Lo que uno tiene que hacer es:

1

Entrevistar a 37 candidatos cualesquiera.

2

Elegir el mejor de todos ellos (que llamo A).

3

Empezar a entrevistar a los que quedan hasta que aparece el primero que es mejor que A.

4

Ahí, detiene el proceso y selecciona ese candidato.

Como dije más arriba, no tengo las herramientas suficientes para poder explicar por qué el número que provee la mejor estrategia es el 37 (si los postulantes son 100). Es decir, con un poco de matemática (no muy sofisticada, solamente un poco por encima de lo imprescindible para entender lo que estoy escribiendo en este artículo), se puede deducir que si los candidatos son 100, basta con evaluar a 37 de ellos antes de tomar la decisión. Además, se puede demostrar que esta estrategia es óptima en el sentido que provee la mejor probabilidad de seleccionar al mejor de todos los candidatos sin tener que entrevistarlos a todos, cosa que uno logra en el 37,1 por ciento de las veces. Este 37,1 por ciento es mucho mayor que el 1 por ciento (que uno tenía en el caso de 100 aspirantes) que uno obtiene si elige uno cualquiera al azar. Y por supuesto, si el número de postulantes es mayor, ese 1 por ciento es aún más chico.

¿Estará uno dispuesto a usarla en la vida cotidiana? ¿Se sentiría usted satisfecho de hacerlo? No importa, en todo caso, lo que sirve es saber que hay herramientas que la matemática provee que ayudan a la toma de decisiones, y que permiten, dado el tiempo que uno tiene para hacer las evaluaciones, optimizar la probabilidad de elegir al mejor.

Fuente:

Página 12